How to Think About Voting Systems
Substantive ways to identify coalitions, assess power distribution, and visualize preference topology within an electoral body.
Abstract
The comparison of social decision-making systems is a problem of huge, and increasing, salience. The wicked problems of our day all require intelligent, large-scale coordination, and the best way to accomplish that ranges from controversial to completely unknown. To make progress on normative views of governance, we’ll need substantive, quantitative means of comparing the empirical outcomes of different experiments, from the US Senate to experimental Decentralized Autonomous Organizations. This article demonstrates a creative application to voting data of a few such tools, including network visualization, clustering analysis, and power indexing, with the aim of drawing attention to the formal comparison of voting systems.
Introduction: Why Think About Voting Systems?
In a world plagued by apparently irresolvable common goods problems and epistemic breakdowns, nothing matches the appeal of just redoing the whole damn system. There have been a slew of proposals for how to structurally improve governance, from implementing alternative voting methods in mainstream politics to building avant-garde Decentralized Autonomous Organizations (DAOs). Perhaps the dominant ideological impulse of the internet era is a broad and variously-described campaign for “decentralization,” the motivation for which can be summed up as the fundamental redistribution of power in society. Calls for decentralization spurred the development of the early internet, they galvanize populist political movements worldwide, and they make up the driving rhetorical impetus to the cryptocurrency, blockchain, and Web3 movements.
Even in the best of cases, revolutions generally fail to deliver their most utopian promises. Just as the early internet devolved into extreme centralization of power, the original imputed benefits of blockchain-style decentralization — things like resistance to attacks and collusion, avoidance of single points of failure, prevention of authoritarianism, etc.— certainly won’t pan out as straightforwardly as originally envisioned. Indeed, a recent DARPA-commissioned report summarizes the evidence for a case which has been made before: the Web3 ecosystem has not, thus far, been very successful in achieving these goals. The very meaning of decentralization has been controversial, in fact. While various definitions (1, 2, 3) and taxonomies (1, 2) have been offered, it’s reasonable to say that there is no good, consensus definition of what decentralization means, or understanding of why it’s beneficial.
At the Metagovernance Project, we seek to shed light on modern problems of social coordination using the framework of governance. Generally, the term “decentralization” has been overused, and we can’t really come up with a good definition which captures everything that has been ascribed to it. But the philosophical motivation for decentralization, the insight that helped inspire the internet from the start, remains interesting: the basic structural properties of social systems are important. Our mechanisms for information diffusion, ownership, and decisionmaking are, at the systemic level, unable to match up to certain types of challenges. They need to be redesigned.
But how to choose between proposals? While the arguments for many ideas are compelling, there isn’t a complete framework for comparing them quantitatively. This gets to the core of Metagov’s work, and indeed much social science research in general. In this article, we present a few tools for tackling a subset of governance design problems quantitatively.
Our analysis is entirely based on voting data. This is partly because voting data is well-defined and easy to access, but it’s also because voting systems are an increasingly important area of scrutiny. Many proposals for improving governance relate to voting: ranked-ballot voting, approval voting, Quadratic Voting, conviction voting, optimistic governance, and so on. Voting isn’t the be-all-end-all of governance, and fails to capture plenty of important dynamics. However, voting is the hard endpoint of political power in democratic systems, which makes it an excellent place to start operationalizing the nebulous traits, characteristics, and qualities — like decentralization — that are advanced as solutions to the world’s many governance problems. In the absence of a coherent formal framework for comparing governance structures in toto, it may be that the best we can do is develop well-defined metrics to compare governance experiments’ outcomes. How does voting mechanism X correlate with voter turnout? Productivity? Polarization? Viewpoint diversity?
In this article, I’ll explore one property of a voting community: the extent to which its voters tend to herd together. This might be termed “opinion consolidation,” or “preference clustering,” and its absence can be framed as the political expression of the oft-aspired-to “viewpoint diversity.” You might also think of it as a kind of ideological centralization, but, as with many qualities purported to lie on a scale of decentralization, it is actually a somewhat less straightforward characteristic.
Methodology
DAO Data
For much of this analysis I used voting data from Snapshot, a popular off-chain voting platform for DAOs. In particular, I gathered a dataset of votes from the Proof-of-Humanity snapshot (see the code used to gather the data here, and the dataset itself here). I used this data not because I have any affiliation with PoH or special interest in its governance but because it has a very manageable number of regular voters (on the order of tens rather than thousands) and a decent number of relatively controversial recent votes (in late June, the time of data collection), rather than the near-consensus apparent in many DAOs’ Snapshots.
Note that this kind of analysis could easily be extended to any other dataset with repeated categorical preference information — e.g. other voting records (DAOs, legislative chambers, stakeholder votes, etc.) or even polling data.
I chose to focus on the seven most recent proposals with binary voting, for the reason that these have highly overlapping voter pools. However, one can easily imagine analyzing more proposals or multi-choice votes. This leaves us with a very manageable set of 69 voters and 7 proposals.
Network Representation of Voting Patterns
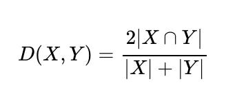
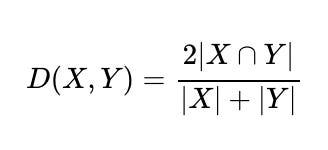
Our approach is to establish a metric of similarity between different voters’ records. A standard option is the Dice coefficient, a statistic which measures the extent to which two sets overlap:
Using this metric, we can represent our DAO voting data as a weighted graph, where each node is a voter and the edge weight represents the voting record similarity between two voters, as measured by the dice coefficient:
This looks interesting! There appears to be some meaningful clumping of voters; some cliques of voters even appear to vote exactly or almost exactly the same.
It should be noted that the graph above probably doesn’t indicate the presence of coordinated decisionmaking in the sense of political parties. More likely, there are a few cliques of nodes which are controlled by the same entity or communicating affirmatively about their decisions, and the rest of the clumping is a result of “accidental” preference alignment among voters more than anything else. To drive this point home, here’s roughly the same visualization carried out on Senate voting data from 2016:¹
Now that’s clustering. Relate this to the idea of viewpoint diversity mentioned in the introduction: often, governance processes are not controlled by a single tyrant or a few oligarchs, but by a network of agents with highly constrained preferences & interests. According to Gallup, as of July 2022, Congress had a 79% disapproval rating, and one of the most cited issues for Congressional dysfunction is political partisanship. There is every reason to believe that polarization in congress has gotten worse over time, and the network perspective confirms this. Here’s the same visualization on Senate data from 1989:
Clearly, there were many more cases in 1989 where republicans and democrats voted the same way than in 2016. A few questions which arise from this perspective: is extreme political partisanship caused, or at least aggravated by, the voting structure of congress? What sorts of voting mechanisms would result in the evolution of more functional preference topologies? There have been plenty of suggestions, but we’ll need real-life experiments and concrete metrics to compare them.
Towards this aim, we’ll proceed with a clustering analysis of our DAO data. If indeed coalitions (explicitly affiliated or accidentally preference-aligned) are starting to form, where might the fault lines appear?
Identifying Coalitions
There are a few ways we could go about this. Inspired by our network representation above, we could use a network-specific community detection algorithm to identify “communities” of voters. However, the data underlying our graphical representation is really based on a way of measuring (a particular version of) geometrical distance between our voters; the graph is a convenient visualization, but the edges don’t necessarily represent communication or special relationships between voters, only their similarity as measured by the Dice coefficient. So perhaps the more natural way to think about our data is as points in a metric space with seven “dimensions,” one for each proposal considered.² Then we can just use traditional data science spatial clustering algorithms.
First, though, we’d like to assess numerically the tendency of our data to cluster at all. A popular means for doing so is known as the Hopkins statistic. Really, the Hopkins statistic measures the spatial dissimilarity between the observed data and uniformly distributed data, where uniformly distributed data scores around 0
, random data around 0.5
, and highly clustered data closer to 1
. Our data gets a mean Hopkins statistic of 0.65
, indicating a bit of clustering but nothing super obvious. For the purpose of future analyses, the Hopkins statistic on the dissimilarity matrix produced by the Dice coefficient could serve as a rough numerical proxy to preference clustering.
A slight wrinkle: the Dice coefficient measures similarity, but we’d like a metric d(X, Y) which measures the “distance” or dissimilarity between two observations. We’ll just define our metric to be d(X, Y) = 1 - D(X, Y) . Hierarchical clustering with average linkage results in the following dendrogram:
It looks like our data breaks pretty naturally into four main clusters, each with relatively little within-cluster variation, along with one outlying node. Let’s color each node by its cluster affiliation, or “coalition.” Note that we’re also adjusting node sizes by voting power on a log scale, but more on that later.
The “party lines” break down decently, but compare this to our 2016 Senate data from earlier:
Again, clearly, the data in this case breaks down much more straightforwardly. Note that the results of our clustering algorithm correspond quite well to our prior knowledge: the red nodes are Republicans and the blue nodes Democrats, with the exception of three Democrats — Joe Donnelly, Joe Manchin, and Heidi Heitkamp — who our algorithm mistakenly grouped with the Republican cluster (of course, Bernie gets his own cluster because he voted so infrequently in 2016).
Now that we’ve clustered the voters, we’ll do a little sample analysis of how the power breaks down between the voters and coalitions. Again, these voters don’t vote identically, and I have no idea whether they represent any sort of communication between nodes, or merely individuals with somewhat aligned preferences. The purpose of the following section is to draw attention to how the analysis conducted so far can be used in conjunction with traditional means, drawn from political science, of assessing electoral power.
Distribution of Voting Power
Most DAOs allocate voting power via governance token, where the number of votes allotted to an individual corresponds to the number of tokens they hold. As in other DAOs, in this case voting power is distributed extremely unevenly between voters — the distribution of voting tokens is characterized by the existence of a few “whales” and lots of small voters: it’s a long-tailed distribution. In our network visualization, we adjusted node size by the voter’s maximum token holdings during the time period considered on a log scale. The power disparity between the most- and least-powerful voters is actually much more dramatic than that node sizing would suggest:

The most powerful voter had nearly as much voting weight as the 58 single-vote voters combined.
How does voting power break down by coalition?
So three of the main coalitions are relatively large, the red coalition being the largest by a decent margin, but not absolutely dominant. If we’re interested in governance power and centralization, however, we should consider how the interactions between the parties affect the distribution of actual decisionmaking power. We’ll employ the Shapley-Shubik power index, which measures the portion of possible voting sequences in which each coalition (assuming they vote in unanimity) casts the deciding vote. Note that unanimity of coalitions is not a great assumption in this case, so this is more of an expository exercise.
This reveals a surprising dynamic in which coalition 1 is more dominant than it appears on the surface, due to the presence of several smaller parties, coalition 3 has significantly less power than we’d expect — the same amount as the independently-voting “whale” that makes up coalition 5.
Concluding Remarks
This article is not intended to present a rigorous, novel method for analyzing governance systems, nor does it suggest a particular normative stance on the ideal preference topology. We’re interested in encouraging explicit, quantitative methods for comparing voting systems at all, and this article provides a rough sketch for one way to go about that.
With regard to this perspective in particular, I can imagine a few ways that the techniques illustrated above could be useful. First, people interested in a specific governance experiment — say, a particular DAO — might want to identify nascent coalitions or emerging preference typologies, or to interrogate their underlying power dynamics (say, to avoid oligarchy). They might, then, opt to conduct such an analysis on voting or polling data. Second, quantitative analysis of voting records could be part of a more general research effort. For example, if you’re interested in polarization, you could examine network clustering outcomes — either empirically, in actual organizations, or via simulation — under different voting arrangements. Likewise, you could investigate whether preference topology has a systematic effect on organizations’ performance, or voter engagement, or ideological direction.
[1]: If you’re interested, the node at the very top is Bernie Sanders, who was frequently absent due to his presidential campaign. Likewise, the node floating off to the top right of the republican party is Ted Cruz. The six nodes in the “middle,” from bottom left to top right, are Joe Donnelly, Susan Collins, Lamar Alexander, Mark Kirk, Joe Manchin, and Heidi Heitkamp, each of whom have a reputation for being moderate or centrist.
[2]: The reason for the quotes is that I don’t have a formal definition for the dimension of a metric space in mind, though if you were a math nerd you could use Hausdorff dimension. I just mean that each data point is a list of seven values.